2上皮系皮膚がんの検査と診断

診断にはどのような検査が必要ですか?

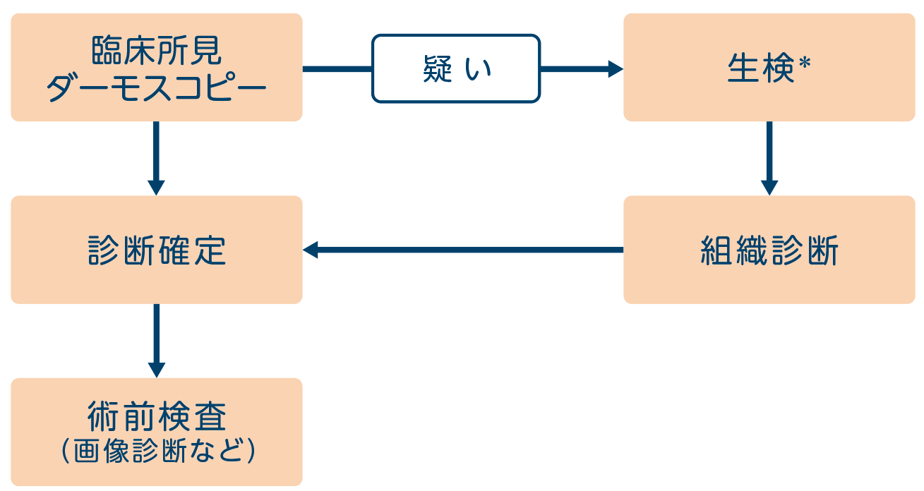
多くの場合、下に示した図の流れに沿って、皮膚科専門医がさまざまな検査を行います。

上皮系皮膚がんと診断するには、まず肉眼やダーモスコピーによる観察を行います(「主な検査方法」を参照)。そして確定診断のために、病変から採取した組織を顕微鏡で調べる生検が行われますが、診断が明らかであれば、生検を省略する場合もあります。確定診断に至ったら、他の部位への転移の有無を調べるための画像検査(CT、MRI、PETペット、X線検査、超音波検査など)や、心肺機能、腎機能などを調べる検査が行われます。

検査・診断の流れ

検査・診断の流れ
*生検については「主な検査方法」をご参照ください。

主な検査方法

ダーモスコピー

ダーモスコピーとは、エコージェルや偏光レンズで光の乱反射を抑え、強い光線を照射することにより皮膚病変を10~30倍に拡大して観察する機器(ダーモスコープ)を使った診断法です。ダーモスコープを使用すると、色素沈着の状態が詳しく診察でき、色のつき方や血管のパターンでほくろやシミと悪性黒色腫や基底細胞がんなどを見分けるのに役立ちます。

※エコージェルや偏光レンズ:皮膚内部の色素分布や色合いがよく観察できるように用いられます。
皮膚生検

確定診断のために、病変を切除して、採取した組織を顕微鏡で調べる生検が行われることがあります。手術で腫瘍全体を切除し、腫瘍の組織を調べる全切除生検と、病変の一部を切除して調べる部分生検があります。皮膚生検の結果は通常約2週間で明らかになります。肉眼所見やダーモスコピーで診断が明らかであれば、生検を行わない場合もあります。

画像検査

画像検査(超音波検査、CT、MRI、PETなど)は、他の部位への転移の有無を調べるために行います。

超音波(エコー)検査
体に超音波を当て、その反響で体内の状態を調べる方法です。
CT
X線を使用した検査で、がんの転移や広がりを画像で確認します。
MRI
磁気を使用した検査で、がんの転移や広がりを画像で確認します。
PET
検査薬を体内に注射し、全身の細胞のうちがん細胞だけに目印をつけ、これを専用の装置で撮影することでがんの転移部位や広がりを調べます。
血液検査

血液検査で腫瘍マーカーの値を参考にすることもありますが、腫瘍マーカーはかなり進行した状態で高値を示し、がん以外の原因や季節によっても高値を示すことがあるため、早期診断には有用とはいえず、病勢や治療効果の判断などに使用されます。
早期診断に有用な血液検査は今のところありません。

監修:
新潟県立がんセンター新潟病院 副院長
竹之内 辰也 先生

(2026年2月作成)